以下の文書は次の翻訳です。 太陽や月までの距離を地球の半径で表示し、太陽や月の半径も地球の半径で表示する話です。
On the Sizes and Distances (Aristarchus) - Wikipedia (大きさと距離について (アリスタルコス))
古代ギリシャには比例の記号 (:) も分数記号もなく、これを文章のみで表示しているので、 とても読みにくいものになっています。そのため翻訳に信頼性がない部分があります (イラストの後半部分)。
「(太陽と月の) 大きさと距離について」 (古代ギリシャ語 : Περὶ μεγεθῶν καὶ ἀποστημάτων [ἡλίου καὶ σελήνης], ラテン文字表記 : Perì megethôn kaì apostēmátōn [hēlíou kaì selḗnēs]) は サモスのアリスタルコス (Aristarchus of Samos) により著された現存する唯一の作品として広く認められている。 彼は古代ギリシャの天文学者で BC 310 年頃 - BC 230 年頃に生存した。 この作品は太陽と月の大きさ、更にはその地球からの距離を、 地球の半径によって計算した。
|
|
紀元前 3 世紀のアリスタルコスの相対サイズの計算、
左から太陽、地球、月。10 世紀のギリシャの写本から。 |
この本は恐らくは アレクサンドリアのパップス (Pappus of Alexandria) の数学の講義の学生により保存されたが、この証拠はない。 最初の印刷版 (editio princeps) は、サー・ヘンリー・サビル (Sir Henry Savile) により編纂された何冊かの中世の写本を使用して、1688 年のジョン・ウォリス (John Wallis) により出版された。 最も最初のラテン語訳は 1488 年に Giorgio Valla によりなされた。 Frederico Commandino による 1572 年のラテン語訳と注釈 (Latin translation and commentary) もある。
この本の方法は幾つかの観察に基づいている :
この記事の残りはアリスタルコスの方法と結果の再構成の詳細である。 再構成には次の変数を使用する。
| 記号 | 意味 |
|---|---|
| φ | 半月の時の月と太陽の間の角度 (直接測定可能) |
| L | 地球から月までの距離 |
| S | 地球から太陽までの距離 |
| ℓ | 月の半径 |
| s | 太陽の半径 |
| t | 地球の半径 |
| D | 地球の中心から、地球の影の円錐の頂点までの距離 |
| d | 月の位置における地球の影の半径 |
| n | 比 d/ℓ (月食の最中に直接観測できる量) |
| x | 比 S/L = s/ℓ (これは φ から計算される) |
アリスタルコスは半月の時に、太陽と地球が月に関して直角となることを前提にした。 太陽と月の間の角度 φ を測定することで、 太陽と月までの距離の比を三角法を使用して求めることができる。
図と三角法から次のように計算できる。
図は随分誇張している、 というのは、 実際は S = 390 L で、φ は 90° に極めて近い。 アリスタルコスが決定したことは φ は直角から 四分円の 1/30 (現代の言葉では 3°) 少ないことで、 現代の言葉では 87°である。 三角関数はまだ発明されていなかったが、ユークリッドの幾何学解析を使用して、 アリスタルコスは次を決定した。
言い換えると、太陽までの距離は月までの距離の 18 倍から 20 倍の間のどこかであった。 この値は (あるいはこれに近接する値は)、これに続く 2000 年間に天文学者に 受け入れられたが、終に望遠鏡が発明されて 太陽視差 (solar paralax) の もっと正確な評価が可能となった。 アリスタルコスが論じたことは : 太陽と月の 角直径 (angular size) は同じであるが、 太陽への距離は月への距離の 18 倍から 20 倍であり、従って太陽は月の大きさの 18 倍から 20 倍大きい。
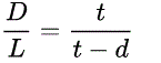
次にアリスタルコスは月食に基づいた別の作図を使用した。
三角形の相似により
2 番目の式を最初の式で割り、太陽と月が地球上で 同じ大きさに見えること ―― s/S = ℓ/L ―― を使用すると
最も右端の等式は ℓ/t あるいは s/t のいずれかに関して解くことができる :
月の半径 ℓ を単位として、
,
と置いて、
長さ d,s を表示することにより、等式を単純に見せることができる :
上の等式は月と太陽の半径を観測量の式で完全に与える。
次の公式は、地球の単位で太陽と月への距離を与える。

但し θ は月と太陽の見かけ上の半径を角度で測ったもの。
アリスタルコスはこのような正確な公式を使用しなかったが、 これらの公式はアリスタルコスのものの良好な近似と思われる。
上記の公式はアリスタルコスの結果の再構成に使用できる。 次の表は n = 2, x = 19.1 (φ = 87°), そして θ = 1° を使用した 長期にわたる (しかしあいまいな) 再現の結果を示し、 これに現代に認められた値を付加している。
| 量 | 関係 | 再現 | 現代 |
|---|---|---|---|
| s/t | 太陽の半径/地球の半径 | 6.7 | 109 |
| t/ℓ | 地球の半径/月の半径 | 2.85 | 3.67 |
| L/t | 地球・月の距離/地球の半径 | 20 | 60.34 |
| S/t | 地球・太陽の距離/地球の半径 | 380 | 23481 |
この計算のエラーは主に x と θ の貧弱な値から来ている。 θ の貧弱な値はとりわけ驚くべきである、 というのはアルキメデスが書くことによると、アリスタルコスは、太陽と月の見かけの直径が 0.5度であることを 決定した最初の人だからである。 これは θ = 0.25 と、対応する月への距離を地球半径の 80 倍の値を与え、ずっと良い評価になる。 この本の、アルキメデスとの不一致はアリスタルコスのステートメント ―― 太陽・月の直径が黄道帯 (zodiac) の "meros" の 1/15 である ―― の捉え方によりと思われ、 ギリシャ語の "meros" が "portion" (部分) あるいは 7°1/2 のいずれかを意味することに 気が付かなかったことによっており、 後者の 1/15 は 1°/2 となり、アルキメデスの証言と一致している。
類似の手順は後にヒッパルコスにより使用され、 彼は月への平均距離は地球の半径の 67 倍と評価し、 プトレマイオスはこの値に関して、地球の半径の 59 倍と評価した。
「大きさと距離について」の命題 (proposition) の幾つかの対話型イラスト (interactive illustration) は 以下で見ることができる。 [訳注 : 以下 Heath 1913 とあるのは Aristarchus of Samos, the Ancient Copernicus. Oxford: Clarendon. p 323、なお命題 13 以後の文章に関してはつじつまが あわないので、どこかに間違いがある。]